Calculus Formulas Apk 1.0.1
情報の読み取り
1.0.1
更新日時:April 13, 2026
ダウンロードapk
Calculus Formulasの重要なコレクション
Calculus Formulas Appは、重要なCalculus Formulasのコレクションです。学生や教師にとって非常に便利です。貴重な時間を節約できることを願っています。
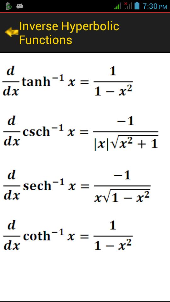
このアプリには、次の式が含まれています。
- 統合式:明確な積分、三角法、指数関数、双曲線などの式
- 派生式:三角式、指数などの式
提案をお願いします。[email protected]に連絡できます
必要に応じて、このアプリを評価してください。